1 Introduction
It has been claimed that, in Spanish, adverbs may appear in any of the following positions within declarative main clauses:
- (1)
- x – Subj – x – V – x – Obj – x
- Zagona (2002: 163, emphasis added)
The present study focuses on the sentence-medial positions (i.e. the ones adjacent to the verb, in bold in (1)), as they are the ones traditionally considered more relevant for the identification of the syntactic position of adverbs. My main goal is to explore, through formal judgment data, the extent to which theoretical models of adverb placement are empirically correct. While there is an ample theoretical background for these structures, empirical work has so far been limited.
Adverb placement has long been linked to verb movement, so much so that the ordering of adverbs relative to the finite verb in sentence-medial positions has even been used as a test of verb movement (Pollock 1989). Within Government and Binding (Chomsky 1981) approaches, verb movement is treated as a parameter, which means that some languages are classified as languages with finite verb movement (e.g. French), while others are said to be without it (e.g. English). However, Spanish has proven difficult to classify due to the acceptability of adverbs in both sentence-medial positions. In fact, it has been described as a “mixed language” in terms of verb movement (Ayoun 2005: 147).
Prior work on adverb placement in Spanish has explored possible word orders for different adverbs and potential factors influencing their placement. While it has been observed that some adverbs, like siempre ‘always’, may appear in multiple sentence-medial positions, the evidence regarding their preferred placement is inconclusive, as studies that focus on this matter (Camacho & Sánchez 2017; Schifano 2018) have yielded conflicting results.
The present study seeks to contribute to the existing body of evidence by examining four adverbs with different features: completamente ‘completely’, normalmente ‘usually’, siempre ‘always’, and ya ‘already’. Section 2 summarises the necessary background, starting with the literature on verb movement and adverb placement before reviewing prior studies. Section 3 introduces the methodology. The analysis of the data and discussion of the findings are found in sections 4 and 5, respectively.
2 Background
This section is divided into four subsections. First, the literature on VP-adverbs and their placement relative to the verb is reviewed. After that, there is a summary of adverb classes and their positions in Spanish, followed by an outline of relevant prior studies on the same subject. Finally, the research questions of the present study are introduced.
2.1 VP-adverbs and their position relative to the verb
This study concentrates on VP-adverbs, that is, adverbs that scope over the Verb Phrase (VP). Crosslinguistic variation in the ordering of verbs and adverbs was first discussed within Generative theories by Emonds (1978) and later Pollock (1989). Both authors observed that, in French, adverbs can be placed immediately after the finite verb, but not before it (see (2)), while the opposite is true in English, as seen in (3).
- (2)
- Jean
- Jean
- (*souvent)
- often
- embrasse
- kisses
- souvent
- often
- Marie.
- Marie
- ‘Jean often kisses Marie.’
- (3)
- (Pollock 1989: 367)
- John often kisses (*often) Mary.
Both Emonds (1978) and Pollock (1989) analyse cases like (2) as head movement of the verb, under the assumption that, once merged into a syntactic position, the adverb itself will not move. In this theory, V-Adv surface word order is said to occur when the verb, which is base-generated inside VP below the adverb, raises to one of the clause’s inflectional heads, which are situated above the adverb. Spanish is traditionally considered a language with verb movement to T,1 following arguments based on adverb placement, sluicing, left-dislocation, and constituent order in adjunct wh-questions (Suñer 1994). Recent contributions have sought to refine this analysis in terms of the extent and nature of the movement. Schifano (2018), for instance, states that Spanish verbs target a very low position within the T-domain, just above the v-VP. Meanwhile, Camacho & Sánchez (2017) conclude that the verb does move to T but that a lower copy of the verb may optionally be realised, since both Adv-V and V-Adv surface word orders are produced and accepted by native speakers (see (4)).
- (4)
- Juan
- Juan
- (siempre)
- always
- lee
- reads
- (siempre)
- always
- libros.
- books
- ‘Juan always reads books.’
Optionality has been argued to pose a challenge for Minimalist theories of syntax, according to which movement operations must either be obligatory or impossible, and which entail that the linear position of elements should be fully determined by their feature endowment.2 The apparent optionality of sentence-medial adverb placement in Spanish also leads Camacho & Sánchez (2017) to question whether adverb placement is a reliable test of verb movement, as suggested by Pollock (1989).3
Given the higher-than-expected flexibility in adverb ordering, the verb movement approach has been complemented with different theories about the base position of adverbs. In what follows, I will present and contrast the two most notable approaches within generative grammar: Functional Specifier (FS) theory (Alexiadou 1997; Cinque 1999; 2004, among others) and Semantically Based Adjunction (SBA) theories (Ernst 2002; Svenonius 2002; Ramchand & Svenonius 2014, among others).
Cinque (1999) proposes that adverbs are specifiers of functional projections located in the area between C and V. In his theory, each adverb has a fixed position as the specifier of a functional head that has a very concrete semantic meaning, a proposal which has also been put forward by Alexiadou (1997). Adverbs are seen as semantically underspecified, obtaining their meaning from the functional head. FS theory is motivated by the observation that adverbs with the same meaning appear to follow the same order across several languages. Ultimately, Cinque (1999) proposes a universal hierarchy of functional heads (see (5)) which accounts for the relative position of adverbs with respect to each other.
- (5)
- (Cinque 1999: 106)
- [ frankly Moodspeech act [ fortunately Moodevaluative [ allegedly Moodevidential [ probably Modepistemic [ once T(Past) [then T(Future) [ perhapsMoodirrealis [ necessarily Modnecessity [ possibly Modpossibility [ usually Asphabitual [ again Asprepetitive(I) [ often Aspfrequentative(I) [ intentionally Modvolitional [ quickly Aspcelerative(I) [ already T(Anterior) [ no longer Aspterminative [ still Aspcontinuative [ always Aspperfect(?) [ just Aspretrospective [ soon Aspproximative [ briefly Aspdurative [ characteristically(?) Aspgeneric/progressive [ almost Aspprospective [ completely AspSgCompletive(I) [ tutto AspPlCompletive [ well Voice [ fast/early Aspcelerative(II) [ again Asprepetitive(II) [ often Aspfreq(II) [ completely Aspcompletive(II)
As adverbs do not move, ordering differences in a particular language are said to depend on whether the verb moves upwards through this structure, to a position which can be higher or lower depending on the language. This can explain why adverbs belonging to the same class appear before the verb in one language, as in (3), but after the verb in another, as in (2). It should be noted that other authors have presented additional evidence supporting FS theory from languages not explored by Cinque, such as Alexiadou (1997) for Greek, Nilsen (1997) for Norwegian, Rackowski & Travis (2000) for Malagasy, Beijer (2005) for Swedish and Tescari Neto (2013) for Brazilian Portuguese.
Assuming that one given verbal form always moves to the same position, Cinque’s theory would struggle to account for cases where one and the same adverb may appear in either position with respect to the verb, as in (4). Movement of the verb alone would not be a satisfactory explanation, as it is assumed that the same verb, with the same tense, mood and aspect, always raises to the same position. Movement of the adverb cannot explain this either, since, as stated above, FS theory assumes that the position of each adverb is determined by the position in the hierarchy of the functional projection that matches its meaning.4 The only possible explanation within Cinque’s system is that, when these situations occur, there are in fact two possible functional projections where the adverb can act as a specifier, one above the landing site of the verb and one below it. Since each functional projection in Cinque’s hierarchy is linked to a specific meaning, one would have to theorise that these two functional projections exhibit a difference in meaning, however slight. This is something that has in fact been theorised by Cinque himself for some types of adverbs (Cinque 1999: 103–104; 2004: 134–135). Take, for example, the English adverb quickly.
- (6)
- (Cinque 1999: 93)
- John (quickly) lifted his arm (quickly).
In Cinque’s account, the two options in (6) correspond to different interpretations: while the former quantifies over the event, the latter does so over the process. (7) shows a possible analysis for (6).
- (7)
The analysis in (7) shows how, according to Cinque’s theory, the English adverb quickly may appear on either side of the lexical verb. Depending on its meaning, quickly may act as a specifier of the aspectual projection Aspcelerative(I) or Aspcelerative(II) (shortened to Aspcel1 and Aspcel2, respectively). The former is located above the landing site of the verb (denoted by XP in (7)), while the latter is somewhere below the verb’s landing site. Note that the syntax tree has been compressed and the remaining functional projections in Cinque’s hierarchy are omitted for brevity. These omitted projections are implicitly assumed to be present, even if phonologically empty, and are indicated by ellipses.
Bobaljik (1999) identifies what he considers to be another explanatory gap of the FS approach, which concerns the position of adverbs relative to auxiliaries and past participles. It has been observed that auxiliaries and their past participles can appear in different configurations with adverbs depending on the language. In Italian, adverbs can appear on either side of the past participle, as seen in (8), but they may also appear before the auxiliary, as the negative adverb mica in (9).5
- (8)
- Non
- neg
- hanno
- have.3pl
- (mica
- not
- più)
- any.longer
- mangiato
- eaten
- (mica
- not
- più).
- any.longer
- ‘They haven’t eaten any longer’
- (9)
- Gianni
- Gianni
- purtroppo
- unfortunately
- forse
- perhaps
- stupidamente
- stupidly
- mica
- not
- gli
- to.him
- ha
- has
- più
- any.longer
- telefonato.
- called
- ‘Unfortunately, perhaps stupidly, Gianni has not called him anymore.’
Following the assumption that adverbs do not move from their base position, the various word orders in (8) and (9) must be analysed as a result of head movement. Since the auxiliary occurs after the adverb mica in (9), it must be the case that its base position is somewhere below the base position of the adverb, and any instances of the auxiliary appearing before mica must be interpreted as a result of it having moved past the adverb’s position, leaving a trace behind. This means that, to obtain Aux-V-Adv word order as in one of the options in (8), the lexical verb would be required to skip past the trace of the auxiliary, resulting in a violation of the Head Movement Constraint (Travis 1984), which stipulates that head movement must proceed stepwise from head to head without skipping any intermediate positions.6
In stark contrast to Cinque, authors like Ernst (2002), Svenonius (2002) and Ramchand & Svenonius (2014) propose that there is no rigid hierarchical order that determines the position of an adverb in a clause. Rather, this approach, which adopts the traditional view of adverbs as adjuncts, suggests that adverb placement is governed by semantic selection. The adverb’s semantic compatibility with the syntactic constituent that it modifies determines the possible sites where the adverb can linearly appear. In this approach, adverbs are said to be able to modify three types of elements: events, facts or propositions.7 In doing so, they may also alter the modified element.
Compare how two different adverbs, cleverly and probably, modify the same basic event:
- (10)
- a.
- Theo cleverly bought flowers.
- b.
- Theo probably bought flowers.
According to Ernst (2002), the reading of the adverb cleverly in (10a) is such that, when combined with the basic event of buying flowers performed by the agent (Theo), it yields an event. On the other hand, the combination of the same basic event with the adverb probably in (10b) yields a proposition. This rationale can be used to predict adverb ordering restrictions when two or more adverbs are combined, potentially obviating the need for the detailed, rigid hierarchy postulated by Cinque (1999). Take (11) for an example:
- (11)
- a.
- Al evidently will probably give up
- b.
- *Al probably will evidently give up
Both adverbs in (11) can modify a proposition, but modification with probably still returns a proposition, whereas modification with evidently returns a fact (as defined by Vendler (1967)). Thus, evidently can modify an object which is already modified by probably, as such an object would still be a proposition, but the opposite is not possible, since the output of a proposition modified by evidently would be a fact, which probably cannot modify. In terms of the sites of adjunction, Svenonius (2002) states that adverbs can adjoin to any verbal projection that they are semantically compatible with. According to Ramchand & Svenonius (2014), semantic compatibility is determined by clausal domains. Specifically, the authors establish a hierarchy of three core clausal domains: the p-domain, the s-domain and the e-domain, which relate to propositions, situations8 and events, respectively. Adverbs are generally said to be confined to one specific domain within a clause based on the types of objects they can modify, although the authors also state that semantic underspecification may allow an adverb to be inserted in two different domains (resulting in two different readings). Thus, a sentential adverbial such as always, related to situations, is said to be confined to the s-domain, while completely, related to events, is said to be confined to the e-domain. Within these domains, adverbs may adjoin to any available heads, resulting in different word orders. Crucially, T is said to be located in the s-domain and V is said to be located in the e-domain, with Asp* being the transition point between the two domains.
In summary, there are two types of theories that have been formulated to analyse adverb ordering crosslinguistically. FS theory (Cinque 1999) considers adverbs to be specifiers and posits a rich hierarchy of functional heads with very specific meanings. On the other hand, SBA theories (Ernst 2002; Svenonius 2002; Ramchand & Svenonius 2014) view adverbs as adjuncts and predict free ordering for adverbs of the same type that preserve the denotation of the clausal constituent.
2.2 Adverb classes and adverb positions in Spanish
There are different types of VP-adverbs, and several categorisation proposals have been made (see Alexiadou (1997) and Ernst (2002)). Zagona (2002), for instance, divides Spanish adverbs into 5 categories: time, place, extent, manner and quantity.
- (12)
- a.
- Los
- the
- trabajadores
- workers
- ya
- already
- recibieron
- received
- el
- the
- sueldo.
- salary
- (Time)
- ‘The workers already received their salary.’
- b.
- Juan
- Juan
- allá
- there
- conoció
- met
- a
- to
- su
- his
- mejor
- best
- amigo.
- friend
- (Place)
- ‘Juan met his best friend there.’
- c.
- Los
- the
- estudiantes
- students
- apenas
- barely
- terminaron
- finished
- el
- the
- examen.
- exam
- (Extent)
- ‘The students barely finished the exam.’
- d.
- María
- María
- leyó
- read
- cuidadosamente
- carefully
- el
- the
- diario.
- newspaper
- (Manner)
- ‘María read the newspaper carefully.’
- e.
- Susana
- Susana
- ama
- loves
- mucho
- a.lot
- a
- to
- su
- her
- hija.
- daughter
- (Quantity)
- ‘Susana loves her daughter a lot.’
VP-adverbs may appear right before or right after the finite verb in Spanish, though not all adverbs appear in both positions. These are the positions that the present study focuses on. Additionally, it is possible for Spanish VP-adverbs to be placed at the very start or very end of a sentence, but not all adverbs can occupy all positions.
It is generally assumed that the positions available to each adverb depend on its taxonomy. According to Zagona (2002), in sentences with simple verb forms (i.e. those which only contain a lexical verb), time adverbs are acceptable in both sentence-medial positions, while manner adverbs can only appear postverbally.9 Compare (13) and (14).
- (13)
- Los
- the
- trabajadores
- workers
- (ya)
- already
- recibieron
- received
- (ya)
- already
- el
- the
- sueldo.
- salary
- ‘The workers already received their salary.’
- (14)
- María
- María
- (*?cuidadosamente)
- carefully
- leyó
- read
- cuidadosamente
- carefully
- el
- the
- diario.
- newspaper
- ‘María read the newspaper carefully.’
When it comes to sentences with complex verb forms (i.e. those which contain an auxiliary and a lexical verb), several authors have noted that placement of adverbs between auxiliaries and lexical verbs in the past participle appears to be constrained in Spanish. While it has been observed that adverbs can quite readily intervene between the auxiliary estar ‘to be’ and the lexical verb, the same cannot be said of the auxiliary haber ‘to have’.
- (15)
- a.
- *Ese
- this
- alumno
- student
- ha
- has
- siempre
- always
- asistido
- attended
- a
- to
- mis
- my
- clases.
- lectures
- ‘This student has always attended my lectures.’
- b.
- Tu
- your
- hijo
- son
- está
- is
- siempre
- always
- protestando
- complaining
- por
- for
- todo.
- evertying
- ‘Your son is always complaining about everything.’
Suñer (1987) lists several instances in which an adverb does appear between the auxiliary haber ‘to have’ and the past participle (see (16) and (17)), while noting that, in her examples, haber is in a polysyllabic form, which is not the case in (15a):
- (16)
- Platero
- Platero
- me
- me
- había
- had
- ya
- already
- saludado
- greeted
- con
- with
- un
- a
- rebuzno.
- bray
- ‘Platero had already greeted me with a bray.’
- (17)
- Suñer (1987: 685)
- Esto
- this
- habría
- would.have
- indudablemente
- undoubtedly
- acelerado
- accelerated
- el
- the
- proceso.
- process
- ‘This would have undoubtedly accelerated the process.’
These examples show that both very short adverbs, like monosyllabic ya ‘already’, and longer ones, like indudablemente ‘undoubtedly’ can appear in the intervening position. Suñer (1987) proposes that the ability of adverbs to intervene between the auxiliary and the lexical verb only when the former is in a polysyllabic form is due to the weight of the auxiliary, with the shorter (monosyllabic) forms cliticising to the past participle and therefore preventing any other elements from intervening. However, Schifano (2018) notes that the ban against an intervening adverb applies even to polysyllabic forms of the present perfect (see (18)) and notes that the degree of acceptability seems to vary depending on the tense and mood of the auxiliary (see (19)).
- (18)
- *he /
- I.have
- has /
- you.have
- ha /
- (s)he.has
- hemos /
- we.have
- habéis /
- you.have
- han
- they.have
- ya
- already
- comido.
- eaten
- ‘I / you / (s)he / we / you / they have already eaten.’
- (19)
- a.
- Cuando
- when
- llegué,
- I.arrived
- Juan
- Juan
- se
- self
- lo
- it
- había
- had.ipfv
- ya
- already
- comido
- eaten
- todo.
- all
- ‘When I arrived, Juan had already eaten it all.’
- b.
- (?)Cuando
- when
- lleguemos,
- we.arrive
- la
- the
- fiesta
- party
- habrá
- has.fut
- ya
- already
- empezado.
- started
- ‘By the time we arrive, the party will have already started.’
In addition to this, Schifano’s data suggest that adverb typology also plays a role, as the adverb ya is accepted by her informants when placed between haber in the imperfect tense and the lexical verb, while siempre is not. Ultimately, she argues that both the tense and modality of the auxiliary, as well as the type of intervening adverb, determine whether a specific adverb can be placed between the auxiliary and the lexical verb.
It may be hypothesized that the different placement options for ya discussed above correspond to different readings of this adverb. However, this does not appear to be the case in Spanish, as long as everything else in the sentence remains unchanged. RAE & ASALE (2009) states that ya can have different meanings depending on the context, expressing either aspect or time. Generally, it denotes a recent change of state, and even though it can be semantically ambiguous, this ambiguity is not dependent on the placement of ya, as both meanings are available regardless of word order. For example, out of context, the sentence “Ya he visitado Berlín” can be paraphrased as “I visited Berlin at some point in the past” or “I just finished my visit to Berlin” (RAE & ASALE 2009, 30.8x).
2.3 Prior studies on Spanish adverb placement
Spanish adverb placement has been predominantly studied through informal acceptability judgments, often as a test of verb movement (Ojea López 1994; Suñer 1994; Rodríguez Ramalle 2003; Schifano 2018). In this section, I will provide an overview of Schifano (2018), as she thoroughly discusses adverb placement, and later Camacho & Sánchez (2017), which is, to my knowledge, the only study published to date which relies on formal judgment data to investigate adverb placement in sentence-medial positions in Spanish.
Schifano (2018) uses informal judgment data from two informants, one who is a speaker of European Spanish (specifically, the variety spoken in Castilla-La-Mancha, Spain) and another who is a speaker of Mexican Spanish. She remarks that the judgments of both informants largely coincide, although some differences are attested between them.10 In Schifano’s (2018) analysis, which approaches adverb placement within FS theory, Cinque’s (1999) hierarchy is divided into two as proposed by Ledgeway & Lombardi (2005): the Higher Adverb Space (HAS) and the Lower Adverb Space (LAS). This division is represented in (20) as summarised by Schifano.
- (20)
- a.
- HAS
- [ frankly Moodspeech act [ fortunately Moodevaluative [ apparently Moodevidential [ probably Modepistemic [ now T(Past/Future) [ perhaps Moodirrealis [ necessarily Modnecessity [ usually Asphabitual [ again Asprepetitive(event) [ often Aspfrequentative(event) [ intentionally Modvolitional [ slowly Aspcelerative(event)
- b.
- LAS
- [ not Neg1presuppositional [ already T(Anterior) [ anymore Aspterminative [ still Aspcontinuative [ always Aspperfect [ hardly Neg2 [ just Aspretrospective [ soon Aspproximative [ briefly Aspdurative [ typically Aspgeneric/progressive [ almost Aspprospective [ completely AspSgCompletive(event) [ everything AspPlCompletive [ well Voice [ fast Aspcelerative(process) [ again Asprepetitive(process) [ often Aspfrequentative(process) [ completely AspSgCompletive(process) [ v-VP …
Schifano (2018) claims that the place in the hierarchy of an adverb’s functional head has implications for the positions available to this adverb mid-sentence. She states that Spanish adverbs must precede the lexical verb if they are part of the HAS (such as normalmente), while those in the first half of the LAS (such as siempre and ya) may appear on either side of the verb, and those in the second half (such as completamente) must appear after the lexical verb. Crucially, she also states that, when both sentence-medial positions are available, the preferred one is the preverbal one. For sentences with an auxiliary, her data suggest that adverbs in the HAS can only appear before the auxiliary, while those at the bottom of the LAS can only appear after the lexical verb. Adverbs at the top of the LAS may appear on either side of the verbal complex,11 and low adverbs such as ya, casi and apenas may intervene between the auxiliary and the lexical verb. High adverbs cannot do that, and it appears that some low adverbs, like siempre, are subject to additional constraints that dictate whether they can intervene or not.
Camacho & Sánchez (2017) tested the acceptability of V-Adv-O and Adv-V-O word orders (among others) by eliciting judgments from 31 native speakers of Peruvian Spanish using two different tasks: one which targeted acceptability and another one which targeted preference. The study focused on five adverbs: siempre ‘always’, cuidadosamente ‘carefully’, frecuentemente ‘frequently’, perfectamente ‘perfectly’ and completamente ‘completely’. Both adverbs tested in Camacho & Sánchez (2017) which are also part of the present study, siempre and completamente, received acceptability scores in the upper half of the scale (which ranged from –5 to 5) in both word orders, suggesting that they were at least marginally acceptable to participants when placed before and after the lexical verb. This does not fully align with Schifano’s (2018) findings, which were that siempre is acceptable both pre- and postverbally, while completamente is only acceptable postverbally. Furthermore, Camacho & Sánchez (2017) state that V-Adv-O is the preferred word order, which stands in contrast to Schifano’s (2018) conclusion that the preferred order is Adv-V. Interestingly, Camacho & Sánchez (2017: 57) report that the adverb siempre received a higher acceptability rating in the Adv-V-O position than in V-Adv-O, which supports the notion that the preferred position may vary for each adverb individually (or, at least, typologically). However, this is difficult to ascertain because the authors do not provide a by-adverb breakdown of the data obtained in the preference task.
2.4 Research questions
As discussed in the previous section, there is general consensus on the fact that adverb placement in Spanish seems to be dictated by adverb typology, among other factors. However, authors disagree on aspects such as the preferential placement of adverbs, or whether individual adverbs are acceptable in certain positions. The present paper aims to address some of the unclarity by means of formally collected acceptability and preference judgments for four specific adverbs with different features.
The four adverbs selected for the present study were chosen strategically according to different factors that may influence sentence-medial adverb placement. Different adverb typologies are represented, although they vary depending on the source, covering different key positions in Cinque’s (1999) hierarchy as identified by Schifano (2018) for Spanish. Table 1 lists the adverbs that are used in the present study and their classification according to different sources. Table 2 indicates their acceptability in sentence-medial positions according to Schifano (2018), which is the most exhaustive source on the topic, though there is no unanimous agreement in the literature (cf. 2.3).
Table 1: Adverbs relevant in the present study and their categorisation according to different sources.
| Adverb | Zagona (2002) | Cinque (1999) | RAE & ASALE (2009) |
| completamente ‘completely’ | Manner | AspSgCompletive(I) / Aspcompletive(II) |
Aspect |
| normalmente ‘usually’ | Time | Asphabitual | Time: Frequency |
| siempre ‘always’ | Time | Aspperfect(?) | Time: Duration / Frequency12 |
| ya ‘already’ | Time | T(Anterior) | Time / Aspect13 |
Table 2: Adverbs relevant in the present study and their sentence-medial placement options in declarative main clauses according to Schifano (2018).
| Adverb | Adv-(Aux)-V | (Aux-)V-Adv | Aux-Adv-V |
| completamente ‘completely’ | ✖ | ✔ | ✖ |
| normalmente ‘usually’ | ✔ | ✖ | ✖ |
| siempre ‘always’ | ✔ | ✔ | ✔(constrained) |
| ya ‘already’ | ✔ | ✔ | ✔(constrained) |
There is little consensus on the underlying mechanisms that govern adverb placement. The present study uses acceptability data of Spanish adverbs to probe two competing models: the hierarchy of functional heads proposed by Cinque (1999) and semantically-based accounts like Ramchand & Svenonius (2014). The paper’s research questions are as follows:
RQ 1: In declarative main clauses with simple verb forms, what does the acceptability of the Spanish adverbs completamente, normalmente, siempre and ya in preverbal and postverbal positions reveal about the syntactic mechanisms underlying adverb placement?
RQ 2: In declarative main clauses with complex verb forms, what does the acceptability of the Spanish adverbs completamente, normalmente, siempre and ya in at least two sentence-medial positions reveal about the syntactic mechanisms underlying adverb placement?
RQ 3: When more than one word order is found to be acceptable, what is the preferred option, and what does this preference suggest about the underlying mechanisms of adverb placement?
In terms of acceptability/preference, the hypotheses are the following:
– For RQ 1: In sentences with simple verb forms, ya ‘already’ and siempre ‘always’ will be similarly acceptable both before and after the lexical verb, while completamente ‘completely’ will be much more acceptable when placed after the verb. This is predicted based on Cinque (1999), Zagona (2002), Ramchand & Svenonius (2014), Camacho & Sánchez (2017) and Schifano (2018).14 As for normalmente, predictions vary. While authors like Zagona (2002) would expect it to be acceptable in both positions, others expect it to be much more acceptable before the finite verb (Schifano, 2018).
– For RQ 2: Sentences with an adverb placed between the auxiliary and the lexical verb will score differently depending on the adverb. Based on Suñer (1987) and Schifano (2018) I can make hypotheses for ya and siempre: both will be scored as acceptable when placed between the auxiliary and the lexical verb, but the former will receive higher scores than the latter. It is unclear whether normalmente or completamente will be accepted in the intervening position. In other positions (pre-auxiliary or postverbally, when tested) the adverbs’ behaviour is expected to parallel our observations in sentences with simple verb forms.
– For RQ 3: there are no concrete hypotheses, as the findings of prior studies are contradictory in this regard. In sentences without auxiliaries, Camacho & Sánchez (2017) conclude that V-Adv is the preferred word order, while Schifano (2018) claims that it is Adv-V.
3 Methodology
3.1 Participants
Participants in this experiment were 59 speakers of Spanish as an L1 who were born and had lived in a Spanish-speaking country for most of their lives. A background questionnaire was administered prior to the experimental tasks, and participants who reported having spoken another language alongside Spanish from an early age were excluded from the dataset.15 After exclusion rules were applied, 48 participants remained.
Several varieties of Spanish are represented in the dataset. The Latin American varieties include participants (n = 29) from Argentina, Chile, Colombia, Costa Rica, Ecuador, Guatemala, Mexico, Nicaragua, Peru and Venezuela. The European variety includes participants (n = 19) from Spain and Andorra. Detailed participant counts per country are not disclosed so as to protect the participants’ anonymity, as some countries had very few participants. Participants’ ages at the time of data collection ranged from 19 to 65 (M = 34.7). There were 34 men, 13 women, and one person who declined to state their gender.
Participants were recruited online in two rounds. In the first round they were recruited using social media. A $50 gift card was raffled among those who completed the experiment to encourage participation. A second set of participants were recruited via Prolific and were compensated individually (£4.50 per participant).
3.2 Methods
3.2.1 Experiment 1
Experiment 1 was an acceptability judgment task (AJT). Each target item included one of the four selected adverbs: completamente ‘completely’, normalmente ‘usually’, siempre ‘always’ or ya ‘already’.16 16 items (4 for each adverb) contained simple verb forms and the other 12 (3 for each adverb) contained complex verb forms. All target items included transitive verbs and an object, so that the adverb would never be the last element in the sentence. All auxiliaries were in the imperfect indicative, as this is one of the cases in which adverbs may be allowed to intervene between an auxiliary and a verb in the past participle according to the literature (see 2.2).
Each target item had two conditions which were identical save for the placement of the adverb: in one condition the adverb was placed right before the finite verb, as in (21a) and (22a), and in the other condition it was placed right after, as in (21b) and (22b). Exceptionally, target items with complex verb forms that contained the adverb completamente ‘completely’ had a third condition in which the adverb was placed right after the lexical verb, as in (22c). This was done because it was deemed especially important to test all three positions for this adverb given its limited placement options compared to the others in the experiment.17 To summarise, the word orders that were part of the experiment were Adv-V-O, V-Adv-O, Adv-Aux-V-O, Aux-Adv-V-O and Aux-V-Adv-O. Any references to word order hereafter will exclude the object, as it is in the same position in all sentences. It is also relevant to emphasise that all test items had preverbal subjects, which ensured that the adverb was not focalised.18
- (21)
- Examples of target items used in the present study, simple verb forms
- a.
- Olga
- Olga
- siempre
- always
- escucha
- listens
- al
- to.the
- profesor
- teacher
- de
- of
- matemáticas
- math
- b.
- Olga
- Olga
- escucha
- listens
- siempre
- always
- al
- to.the
- profesor
- teacher
- de
- of
- matemáticas
- math
- ‘Olga always listens to the math teacher’
- (22)
- Examples of target items used in the present study, complex verb forms
- a.
- Juan
- Juan
- completamente
- completely
- había
- had
- solucionado
- solved
- el
- the
- problema
- problem
- b.
- Juan
- Juan
- había
- had
- completamente
- completely
- solucionado
- solved
- el
- the
- problema
- problem
- c.
- Juan
- Juan
- había
- had
- solucionado
- solved
- completamente
- completely
- el
- the
- problema
- problem
- ‘Juan had completely solved the problem’
In (21a) and (22a), by hypothesis, the finite verb has not raised past the adverb, while in (21b) and (22b) the finite verb appears in a position consistent with verb raising to at least T. In (22c), both verbs appear to have raised past the adverb. This word order is reported to be acceptable in Spanish, although theories of verb movement and adverb placement struggle to explain its acceptability.
The AJT included other stimuli related to verb movement (n = 12), to be used in a different study. These stimuli were all sentences where the subject is not the first clausal element (of the type “On Mondays, Anne eats fish”). Additionally, there were enough fillers unrelated to verb movement (n = 45) to distract from all verb movement stimuli. Two lists of 88 test items each were created, and participants were distributed among the two in a balanced manner. Generally, each list only contained one of the conditions for each target, with the exception of items with a complex verb form that included the adverb completamente. As explained above, completamente items had three conditions with complex verb forms: Adv-Aux-V, Aux-Adv-V and Aux-V-Adv. This meant that two conditions of each target had to be included in each list, brining the total of items with complex verb forms judged by each participant to a total of 15. The lists were pseudorandomised: after randomising the stimuli, the lists were manipulated to ensure that stimuli of the same type did not appear too close to each other, being particularly careful with the repeated targets with completamente and a complex verb form.
To summarise, each participant saw and judged 88 items, with the following breakdown:
– 16 target items with simple verb forms in one of their two conditions (4 items per adverb)
– 15 target items with complex verb forms in one of their two conditions (3 items per adverb, plus an additional 3 for completamente in the third condition discussed above)
– 12 stimuli related to verb movement, to be used in another study
– 45 filler items
3.2.2 Experiment 2
The second part of the study consisted of a gap-filling task (GFT) with 64 items. There were 16 target items: 8 with simple verb forms and 8 with complex verb forms. Additionally, there were other items related to verb movement (n = 16) similar to the ones in the AJT, and enough fillers unrelated to verb movement (n = 32) to distract from all verb movement stimuli. Like the target sentences in experiment 1, each of the targets in experiment 2 contained one of the adverbs selected for the study (completamente, normalmente, siempre or ya). The finite verb had been removed from the sentence and participants were asked to indicate in which of the two provided gaps they preferred to place it (see (23) and (24)). Each gap resulted in a different linear position for the adverb with respect to the finite verb: the first gap was right before the adverb, and the second one right after it. In filler sentences, the removed clausal element was not the verb, but other words or phrases. The first gap of every item was labelled with a 1 and the second one, with a 2.
- (23)
- Los
- The
- turistas
- tourists
- (1)
- (1)
- siempre
- always
- (2)
- (2)
- el
- the
- museo
- museum
- los
- the
- lunes
- Mondays
- (visitan)
- (visit)
- ‘The tourists (1) always (2) the museum on Mondays (visit)’
- (24)
- Patricia
- Patricia
- (1)
- (1)
- ya
- already
- (2)
- (2)
- hecho
- done
- los
- the
- deberes
- homework
- sin
- without
- ayuda
- help
- (había)
- (had)
- ‘Patricia (1) already (2) done her homework without help (had)’
The items in this task were pseudorandomised using the same strategy as for the AJT. Note that, in sentences with complex verb forms, participants could only indicate preference for two out of the three possible positions. This was deemed necessary for consistency, as including three gaps in the target items with complex verb forms would have distinctly differentiated them from the others.19 The reasoning for the gaps that were selected, the intervening gap and the pre-auxiliary one, was that the former was deemed of special interest due to the constraints reported in the literature for Aux-Adv-V word order, while the latter would help delve into the differences between adverbs which were expected to be acceptable when placed before the auxiliary (normalmente, siempre and ya) and the one that was not (completamente). However, this decision precluded the collection of comprehensive preference data for all sentence-medial placement options.
3.3 Procedure
Before beginning the experimental tasks, participants were asked to read and sign a consent form, and then redirected to a linguistic background questionnaire on the online tool Nettskjema. The questionnaire included questions about personal data, the languages spoken by the participants and the circumstances in which they were learned.
The two experimental tasks were completed in the same order by all participants: first the AJT and then the GFT. Both tasks were administered using the online tool eBabyLab (Lo et al. 2024). For the AJT, participants were instructed to read each sentence silently and press a key from 1 to 6 on their keyboard to indicate how natural each sentence sounded, with 1 corresponding to “not natural at all” and 6 corresponding to “completely natural”. Furthermore, participants were instructed to not pay attention to punctuation or spelling. Sentences were presented one at a time, and there were two practice sentences at the start of the task. Participants were prevented from going back to previous items after they had already provided a score, to ensure that they could not compare them. The task was untimed in order to allow participants as much time as they needed to interpret the sentences.
In the GFT, participants had to read each sentence silently and press 1 or 2 on their keyboard, depending on whether they preferred to place the verb provided in parentheses in the first gap or the second gap. As in the AJT, there were two practice items before the experiment began. Sentences were also presented one at a time, and it was not possible to go back to a previous sentence. This task was also untimed.
Participation in the study was anonymous, and the study had been registered with SIKT (the Norwegian Agency for Shared Services in Education and Research) as part of a larger research project prior to its start.
4 Analysis
Cumulative ordinal regression was used to analyse the raw scores from the AJT in R (R Core Team 2024), specifically cumulative link mixed models (CLMM) implemented with the ordinal package (Christensen 2023). Cumulative link models are especially suited to analysing Likert-scale data, as they do not assume continuous, normally distributed responses, making it possible to conduct analyses while preserving the original rating scale used by participants (Christensen 2018). The emmeans package (Lenth 2024) was used for pairwise comparisons. The level of significance was set at p < 0.05.
The model that analysed sentences with simple verb forms used the interaction of condition and adverb as a fixed effect and included random intercepts for participant and item, by-participant random slopes for the interaction of condition and adverb, and by-item random slopes for condition.
For sentences with complex verb forms, two models were used, as the condition where the adverb was placed after the main verb was only tested for completamente. Firstly, a model was fit based on the data for all adverbs, on the two conditions in which all adverbs were tested: Adv-Aux-V and Aux-Adv-V. This model used the interaction of condition and adverb as a fixed effect and included random intercepts for participant and item, as well as by-participant random slopes for the interaction of condition and adverb. Then, another model was fit based on the data for the adverb completely in all conditions. This model used condition as a fixed effect and included random intercepts for participant and item, and by-participant random slopes for condition.
As stated in section 2.3, the possible effects of diatopic variation cannot be ruled out, but this potential factor is currently underexplored. Even though the data collected for the present study did not allow for a thorough analysis of the effect of diatopic variation, I conducted a separate analysis on a subset of the data which only included speakers of Spanish from Spain to compare to the general trends and specific results obtained in the main analysis. The results, which largely follow the same trends as those in the main analysis, are reported in the appendix.
4.1 Experiment 1
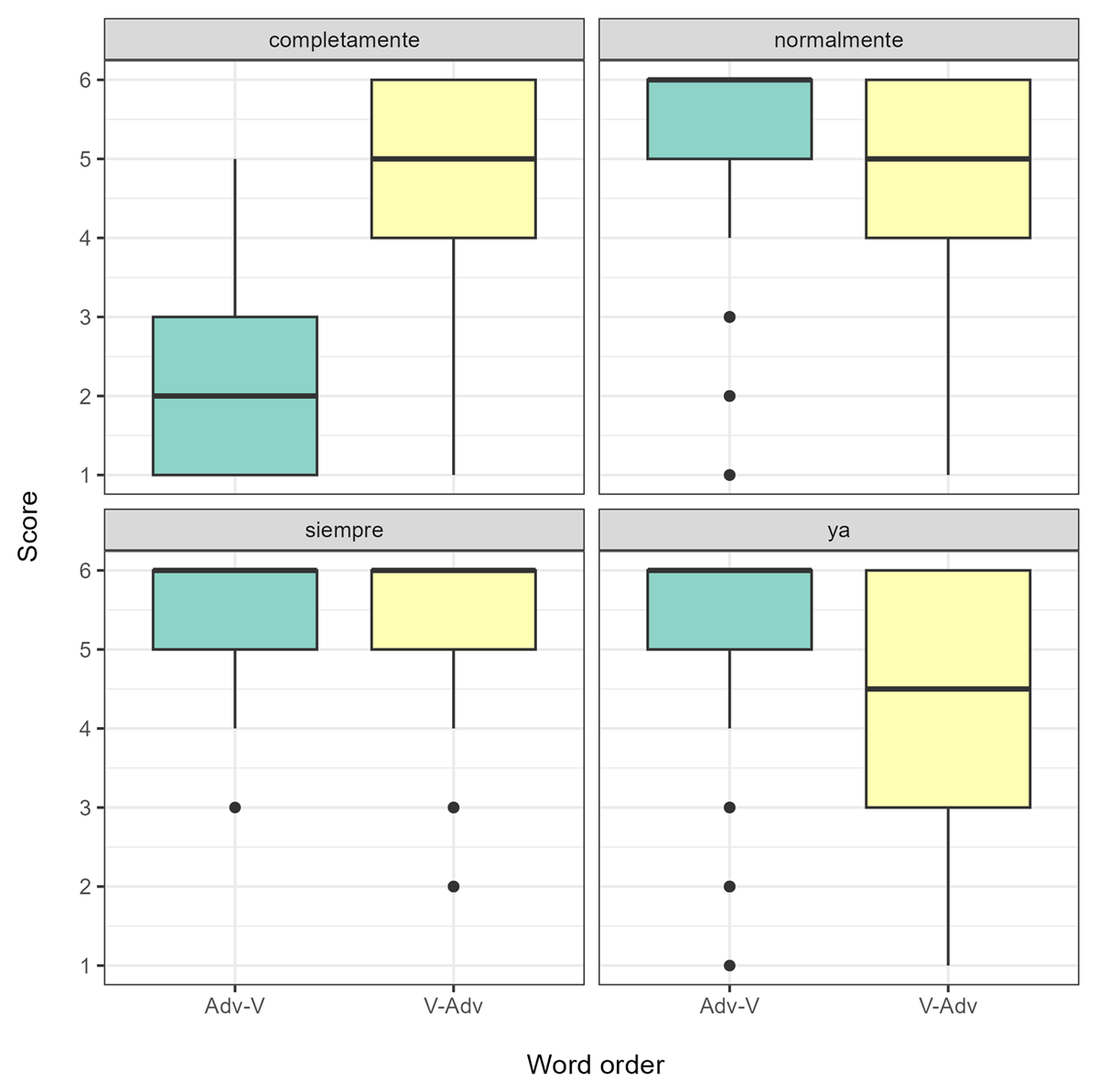
Results from the conditions with simple verb forms are presented first. Figure 1 shows a box plot of the mean scores assigned to each adverb in each of the tested conditions. Table 3 shows the exact mean scores and standard deviations and Table 4 summarises the output of the CLMM.
Table 3: Mean scores and standard deviations for each adverb in sentences with a simple verb form, experiment 1.
| Adverbs | Adv-V | V-Adv | ||
| Mean score | SD | Mean score | SD | |
| Completamente | 2.19 | 1.15 | 4.86 | 1.36 |
| Normalmente | 5.16 | 1.19 | 4.67 | 1.25 |
| Siempre | 5.68 | 0.61 | 5.52 | 0.89 |
| Ya | 5.22 | 1.09 | 4.27 | 1.53 |
Table 4: Statistical summary of the ratings of V-Adv and Adv-V word orders for different adverbs. The reference adverb was completamente and the reference word order was Adv-V. Estimates are reported as log odds ratios.
| Estimate | Standard error | z-value | p-value | |
| Condition | 5.67 | 0.57 | 9.91 | <.001 |
| Adverb [normalmente] | 6.57 | 0.82 | 7.98 | <.001 |
| Adverb [siempre] | 7.88 | 0.87 | 9.07 | <.001 |
| Adverb [ya] | 6.27 | 0.71 | 8.81 | <.001 |
| Condition × Adverb [normalmente] | –7.31 | 0.87 | –8.44 | <.001 |
| Condition × Adverb [siempre] | –5.54 | 0.84 | –6.62 | <.001 |
| Condition × Adverb [ya] | –7.68 | 0.77 | –9.98 | <.001 |
The ordinal regression model revealed significant effects of condition and adverb, as well as their interactions. Since all three adverbs included in the study showed significant interactions with condition, a post-hoc analysis was conducted. Adverbs normalmente and siempre received similarly high scores in both conditions. The post-hoc analysis showed that scores for normalmente were significantly higher for Adv-V than V-Adv (z = 3.036, p = .0024). The difference between conditions was even clearer for ya. While both still scored relatively high, Adv-V was scored significantly higher than V-Adv (z = 4.908, p < .0001). As for completamente, only V-Adv was scored in the upper half of the scale, and the difference with Adv-V was also significant (z = –9.905, p < .0001).
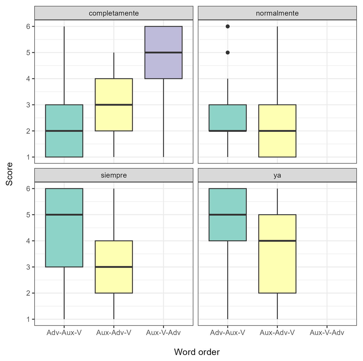
Now we present results from sentences with complex verb forms. Figure 2 shows a box plot of the mean scores assigned to each adverb in each of the conditions in which it was tested. Table 5 shows the exact mean scores and standard deviations, and Tables 6 and 7 summarise the output of the CLMMs.
Table 5: Mean scores and standard deviations for each adverb in sentences with a complex verb form, experiment 1.
| Adverbs | Adv-Aux-V | Aux-Adv-V | Aux-V-Adv | |||
| Mean score | SD | Mean score | SD | Mean score | SD | |
| Completamente | 2.29 | 1.27 | 2.80 | 1.15 | 4.82 | 1.29 |
| Normalmente | 2.56 | 1.34 | 2.29 | 1.21 | ||
| Siempre | 4.41 | 1.60 | 2.86 | 1.50 | ||
| Ya | 5.03 | 1.08 | 3.52 | 1.52 | ||
Table 6: Statistical summary of the ratings of Aux-Adv-V and Adv-Aux-V word orders for different adverbs. The reference adverb was siempre and the reference word order was Adv-Aux-V. Estimates are reported as log odds ratios.
| Estimate | Standard error | z-value | p-value | |
| Condition | –3.32 | 0.50 | –6.58 | <.001 |
| Adverb [normalmente] | –3.70 | 0.49 | –7.57 | <.001 |
| Adverb [completamente] | –4.24 | 0.58 | –7.32 | <.001 |
| Adverb [ya] | 0.88 | 0.47 | 1.88 | 0.060 |
| Condition × Adverb [normalmente] | 2.81 | 0.56 | 5.06 | <.001 |
| Condition × Adverb [completamente] | 4.39 | 0.63 | 6.99 | <.001 |
| Condition × Adverb [ya] | 0.58 | 0.56 | 1.04 | 0.298 |
Table 7: Statistical summary of the ratings of possible sentence-medial combinations of the adverb completamente, an auxiliary, and a lexical verb. The reference word order was Adv-Aux-V. Estimates are reported as log odds ratios.
| Estimate | Standard error | z-value | p-value | |
| Condition [aux-adv-v] | 1.40 | 0.40 | 3.50 | <.001 |
| Condition [aux-v-adv] | 5.38 | 0.64 | 8.39 | <.001 |
First I discuss the model that compares all four adverbs in two of the three possible word orders: Adv-Aux-V and Aux-Adv-V. The ordinal regression model revealed significant effects of condition and adverb (except for ya), as well as their interactions. Since some of the interactions examined in the model were significant, a post-hoc analysis was conducted. Siempre (z = 5.797, p < .001) and ya (z = 5.625, p < .001) received significantly higher scores when placed before the auxiliary than in the intervening position. In the intervening position, the difference between the scores assigned to siempre (M = 2.86, SD = 1.50) and ya (M = 3.52, SD = 1.52) was significant (p = 0.0029). Normalmente received low scores in both of the conditions it was tested in (M = 2.56, SD = 1.34 for Adv-Aux-V; M = 2.29, SD = 1.21 for Aux-Adv-V), and the difference between the two conditions was not significant. Finally, completamente was scored in the lower half of the scale in both conditions tested in this model, though Aux-Adv-V was around the middle of the scale, and this score was significantly higher than the one for Adv-Aux-V (z = –2.303, p = 0.0213).
In the model that was only fit with the data from completamente in all three conditions, placement after the lexical verb received a significantly higher score than before the auxiliary (z = 8.39, p < .001). Placement in the intervening position was also scored significantly higher than pre-auxiliary placement (z = 3.50, p < .001).
4.2 Experiment 2
Now I present the results from the GFT. Note that the amount of items per adverb in each condition of this experiment (n = 2) means that the collected data cannot be analysed with full statistical models. However, since the data were collected on the same population as experiment 1, they are reported for transparency and to enhance the discussion. In my analysis and subsequent discussion, I endeavour to engage with the results only to the extent that it is possible and with the appropriate degree of caution.
Table 8 shows the percentage of responses that favoured each word order in sentences with simple verb forms, as well as the outcomes of binomial tests conducted for each adverb in order to determine if the captured preferences differ significantly from chance (p < 0.05). For both completamente and ya, V-Adv was preferred slightly over Adv-V, though this preference was not significantly above chance. In contrast, Adv-V was the preferred option for both normalmente and siempre by a much wider margin which was significantly above chance.
Table 8: Percentage of responses in favour of each possible word order and outcomes of binomial tests, for each adverb in sentences with a simple verb form, experiment 2.
| Adverbs | Adv-V | V-Adv | Binomial test |
| Completamente | 43.75% (42/96) | 56.25% (54/96) | p = 0.2615 |
| Normalmente | 75% (72/96) | 25% (24/96) | p < 0.05 |
| Siempre | 78.12% (75/96) | 21.88% (21/96) | p < 0.05 |
| Ya | 40.62% (39/96) | 59.38% (57/96) | p = 0.08219 |
Since these results seemed to partially contradict the results of the AJT, especially for completamente (for which the Adv-V word order received rather low scores in the AJT), the target items were inspected one by one. The percentage of responses for each target item in each word order can be found in Table 9. Figure 3 visualises of all the individual observations. Through visual examination, it becomes apparent that most participants heavily favoured Adv-V for one of the items with completamente and ya, and V-Adv for the other. This observation was also confirmed by means of a proportion test conducted separately for each adverb’s items (p < 0.05 in both cases). Responses for siempre and normalmente were more consistent across items and the proportion test revealed no significant differences between each adverb’s items.
Table 9: Preferences for each target item in sentences with a simple verb form, experiment 2.
| Item | Adv-V | V-Adv |
| El profesor ___ completamente ___ la revista (lee) | 83.33% | 16.67% |
| Leire ___ completamente ___ la puerta del coche (abre) | 4.17% | 95.83% |
| El director ___ normalmente ___ el café aquí (toma) | 66.67% | 33.33% |
| Julio ___ normalmente ___ sus problemas (resuelve) | 83.33% | 16.67% |
| Gerardo ___ siempre ___ esas galletas de chocolate (come) | 81.25% | 18.75% |
| Los turistas ___ siempre ___ el mueso los lunes (visitan) | 75% | 25% |
| Mi mejor amiga ___ ya ___ el desayuno cada día (prepara) | 79.16% | 20.83% |
| Néstor ___ ya ___ su siguiente novela (escribe) | 2.08% | 97.9% |
Now I present the results from the sentences with complex verb forms. Table 10 shows the percentage of responses that favoured each possible word order, as well as the outcomes of the binomial tests. Figure 4 visualises the individual observations. Note that in this case, unlike in sentences with simple verb forms, preferences do not seem to vary for individual items.
Table 10: Mean scores and standard deviations for each adverb in sentences with a complex verb form, experiment 2.
| Adverbs | Adv-Aux-V | Aux-Adv-V | Binomial test |
| Completamente | 20.83% | 79.17% | p < 0.05 |
| Normalmente | 89.58% | 10.42% | p < 0.05 |
| Siempre | 96.88% | 3.13% | p < 0.05 |
| Ya | 92.71% | 7.29% | p < 0.05 |
For siempre, ya and normalmente, participants preferred Adv-Aux-V word order significantly. In the case of completamente, participants significantly preferred Aux-Adv-V over Adv-Aux-V when forced to choose between the two.
5 Discussion
This paper has analysed the acceptability and preferential placement of four Spanish adverbs relative to lexical verbs and auxiliaries. Its main aim is to contribute formally collected data to the existing body of literature, since there is a lack of such data and research published to this date has yielded partially conflicting results. The four adverbs examined here are siempre ‘always’, ya ‘already’, normalmente ‘usually’, and completamente ‘completely’. The first section focuses on RQ1, which is about the acceptability of different word orders in sentences with simple verb forms, while incorporating the findings of the exploratory RQ3. The second section tackles RQ2, about the acceptability of different word orders in the presence of an auxiliary, while also integrating insights from RQ3. Finally, the limitations of the present study are discussed.
5.1 Research questions 1 and 3: acceptability and preferential placement of sentence-medial adverbs in declarative sentences with a lexical verb only
The first and third research questions are reproduced here for the reader’s convenience:
RQ1: In declarative main clauses with simple verb forms, what does the acceptability of the Spanish adverbs completamente, normalmente, siempre and ya in preverbal and postverbal positions reveal about the syntactic mechanisms underlying adverb placement?
RQ3: When more than one word order is found to be acceptable, what is the preferred option, and what does this preference suggest about the underlying mechanisms of adverb placement?
The hypothesis for RQ 1 was that ya and siempre would be acceptable both pre- and postverbally, while completamente would only be acceptable postverbally. The expectations for normalmente were unclear. The results align fully with the hypotheses for ya, siempre and completamente, and normalmente was found to be acceptable in both sentence-medial positions. As for RQ3, the data show that participants preferred placing the main verb after the adverbs siempre and normalmente, while their preferences for completamente and ya seemed to vary: most participants preferred Adv-V in one of the items tested, but V-Adv in the other.
Starting with completamente first, the results of the present study are generally consistent with Camacho & Sánchez (2017) and Schifano (2018), since both find the postverbal placement of this adverb to be accepted over the preverbal one (M = 4.86 and M = 2.19, respectively, in the present study). However, while Schifano’s (2018) informants declared the preverbal option to be unacceptable, the results of Camacho & Sánchez (2017), whose AJT scale ranged from –5 to 5, seem less categorical. In the latter, the preverbal position did receive a lower average score (M = 1.2) than the postverbal one (M = 2.6), placing both scores in the upper half of the scale. The seemingly higher acceptability of Adv-V in Camacho & Sánchez (2017) could be related to the particular variety of Spanish spoken by participants.20 While all participants of Camacho & Sánchez (2017) were speakers of Peruvian Spanish, the present study included participants who spoke several varieties, with the biggest subgroup being speakers of Spanish from Spain (n = 18). Even though the present study cannot thoroughly address the issue of diatopic variation due to a lack of participants, it is worth noting that, in an analysis of a subset of the data of the present study, the judgments provided by participants from Spain were largely consistent with those obtained when analysing the full dataset (see Appendix for more details), including for the particular case at hand here, the placement of completely. Alternatively, this difference may be related to the particular items used in each study, or their scales. The scale in Camacho & Sánchez (2017) included negative values21 and the scale used in the present study did not, which has been argued to lead to different ratings (Hartley & Betts 2010). While the findings of Hartley & Betts (2010) were that scales with only positive values tend to elicit higher scores, I hypothesise that other conditions included in Camacho & Sánchez (2017) may have caused their participants to use the full extent of the scale differently from those in the present study. I am referring specifically to conditions related to negation, since the authors also tested Neg-Adv-V and Neg-V-Adv word orders, and Neg-Adv-V was found to be even less acceptable than its counterpart without negation.
The findings that ya and siempre are acceptable both pre- and postverbally match Schifano’s (2018) findings, as she observes that adverbs in the higher half of the LAS such as these ones can appear in both positions in Spanish. It is also telling that both of these adverbs received higher scores when placed before the verb, a difference which was significant in the case of ya. This lends support to the idea that the canonical word order for these adverbs is Adv-V, even if the alternative (V-Adv) may still be acceptable in a different reading, such as a focalised one as proposed by Schifano (2018: 3). As for the other adverbs tested, Schifano (2018) also notes that adverbs in the lower half of the LAS can only appear postverbally, which matches the present study’s findings for completamente, an adverb that belongs to this lower half. On the other hand, normalmente was found to be acceptable in both positions, although it belongs to the HAS and should therefore only be acceptable preverbally, which was, indeed, what Schifano’s (2018) informants reported. In terms of preference, my results partly align with the results of experiment 1 and Schifano’s (2018) finding that, when both word orders are available, the preferred one is Adv-V. This is the preferred word order for siempre and normalmente, but not for ya. In the case of siempre, for which both word orders received similarly high scores in the AJT, this suggests that the canonical word order is Adv-V, and that, while V-Adv is also possible, it may be with a particular reading, such as a focalised one. As for ya, preferences appeared to differ depending on the context, with Adv-V being favoured by nearly all participants in one of the items and the same being true for V-Adv in the other item. Unfortunately, because only two items were tested for each adverb, it is not possible to say what may have caused this divide. To put forward one hypothesis, the interaction between the semantic elements of each sentence and the inflection of the verb could at least be a factor. Schifano (2018) finds that tense, mood, and aspect can affect verb placement in Romance languages, and even a tentative indication of diatopic variation in Spanish in this regard. While the present study cannot thoroughly address these potential effects, this is certainly a worthwhile direction for further research.
In terms of theories of adverb placement, Cinque’s (1999) Functional Specifier approach does not seem to provide the necessary level of flexibility to explain why normalmente, siempre and ya can be placed before or after the verb, as they only have one available position, specifically Asphabitual, Aspperfect(?), and T(Anterior), respectively. One way out within this theory would be to assume that there is a position where the verb can optionally move in Spanish, even when tense and mood remain unchanged. This explanation does not seem likely since movement is generally treated as a last resort operation that requires some sort of motivation, such as semantic necessity. From a technical perspective, it is unclear how this optionality would be syntactically expressed and what factors would allow for it. Additionally, I am not aware of any independent evidence that gives initial plausibility to the idea of full optionality in verb placement.
Another possible reanalysis for these data within the Functional Specifier approach would be to multiply the functional projections associated with these three adverbs, such that for instance ya would have two possible placements, one below and one above the landing site of the verb. Given the internal logic of the framework, this alternative also requires the different functional projections for the same adverb to differ in meaning, as is the case for celerative, completive and frequentative adverbs according to Cinque (1999: 103–104). This stance does not seem initially plausible, either. Although sources like RAE & ASALE (2009) note that the same adverb may take on a different meaning depending on the context (see section 2.2), there are no direct correlations with its syntactic position in the way predicted within FS theory, since both preverbal and postverbal placement may allow any possible readings.22 Therefore, it does not seem likely that this would be a satisfactory explanation for the data of the present study. Another possibility, as argued by Schifano (2018), is that one of the available word orders is pragmatically marked. This would allow the FS approach to accommodate the findings of the present study, but the only supportive evidence in favour of this interpretation so far is provided on the basis of judgments from two speakers, each of a different variety (Schifano 2018).23 While these datapoints suggest a promising line of inquiry, further research is required to confirm the generalisability of Schifano’s findings.
SBA theories like Svenonius (2002) and Ramchand & Svenonius (2014) are also only partially compatible with the findings of the present study. These theories posit that each adverb can have several adjunction sites, as long as the adverb’s meaning is compatible with the clausal domain where it is adjoined. As established above, Spanish is a language with verb movement and the landing site of the verb is generally assumed to be located in the clausal domain that stores information related to aspect and tense (Pollock 1989; Zagona 2002). In SBA theories, the fact that adverbs that are semantically linked to aspect or time (like siempre, ya and normalmente) can appear both before and after the verb simply means that they can be adjoined to several sites within this clausal domain, having at least one available adjunction site above and another one below the landing site of the verb. What remains to be determined is what dictates the adjunction site of an adverb when several are possible. Although the present study cannot offer a conclusive explanation either, it is reasonable to assume that certain semantic properties of the verb may influence how the adverb is interpreted, thereby affecting its placement options. The results of ya and completamente in experiment 2 seem to point in this direction: participants exhibited strong preferences regarding adverb placement, but the direction of these preferences was item-dependent, with opposite patterns emerging for the two stimuli that were used for each adverb. However, SBA theories would have to posit subdivisions of the three major clausal domains to accommodate this stipulation, which runs counter to their core premises.
In the case of completamente,24 which was not accepted in the preverbal position in the AJT data, note that the possible adjunction sites for measure adverbs standardly belong to a domain which is below the domain that contains the landing site of the verb (Ernst 2002: 444, 448), that is, below the area where tense and grammatical aspect are introduced. Thus, such adverbs are always expected to appear after the verb in Spanish. However, there is an apparent incongruence between the results of completamente in experiments 1 and 2 of the present study. Although the acceptability data reflect that V-Adv is much more acceptable than Adv-V for this adverb, there was one sentence in the gap-filling for which participants overwhelmingly preferred Adv-V word order (El profesor completamente lee la revista). It is difficult to say what exactly is the cause of this incongruence without collecting additional data. One possible explanation is that completamente may be able to exceptionally appear before the verb if a reading is licensed which is compatible with the temporal-aspectual domain, and that this happens to be the case for that particular item in the gap-filling.25 Ultimately, this again points to a complex interaction between adverbs and the verb they accompany, and highlights a need for further investigation into how the semantic properties of the verb can affect adverb placement. Alternatively, consider the fact that completamente does not always indicate that something reaches the highest degree within a scale (Fábregas 2015). I propose that, in the specific case being discussed here, participants may have interpreted completamente as emphasising the truth value of the proposition El profesor lee la revista, specifically through verum focus (Höhle 1992). This interpretation could be paraphrased as “I know for sure that the professor reads this magazine/journal”. This is, of course, a tentative proposal that requires further research for confirmation. Both proposals could conceivably be accommodated by FS and SBA theories. The first proposal does not require additional stipulations by SBA theories, but the second one necessitates the introduction of subdivisions, as explained in the previous paragraph. As for FS theories, both proposals require the introduction of an additional functional projection for completamente that allow it to merge to a higher position.
5.2 Research questions 2 and 3: acceptability and preferential placement of sentence-medial adverbs in declarative sentences with an auxiliary
Once again, the relevant research questions are reproduced here for the reader’s convenience:
RQ2: In declarative main clauses with complex verb forms, what does the acceptability of the Spanish adverbs completamente, normalmente, siempre and ya in at least two sentence-medial positions reveal about the syntactic mechanisms underlying adverb placement?
RQ3: When more than one word order is found to be acceptable, what is the preferred option, and what does this preference suggest about the underlying mechanisms of adverb placement?
Briefly, the hypothesis for RQ2 was that ya would receive higher scores than siempre when placed between the auxiliary and the lexical verb, but both would be acceptable. There was no concrete hypothesis for completamente or normalmente. For all adverbs, the acceptability of the pre-auxiliary and postverbal position were expected to parallel the observations for sentences without an auxiliary. This was only partially supported by the results, as normalmente was rejected in the pre-auxiliary position even though it received scores in the upper half of the scale in the preverbal position in sentences with simple verb forms. For RQ3, results indicate that, out of the two options provided, the preferred placement of completamente is the intervening position, while that of ya, siempre, and normalmente is the pre-auxiliary position. The last finding is unexpected given the results of the AJT, where normalmente was rejected in the pre-auxiliary position.
As hypothesised, siempre and ya did receive high scores in the AJT when placed before the auxiliary, and their scores were lower when placed between the auxiliary and the participle, with siempre scoring around the middle of the scale. Ya was significantly more acceptable than any of the other adverbs when placed in the intervening position. In fact, it was the only adverb that received a score in the upper half of the scale in this position (M = 3.52, SD = 1.52). This finding is consistent with Schifano (2018), who notes that certain adverbs (of which ya is one) can intervene between the auxiliary and the past participle if the auxiliary is inflected in the imperfect indicative, as is the case for the items used in the present study. As stated above, both options available for normalmente (Adv-Aux-V and Aux-Adv-V) scored in the lower half of the scale on average. The low scores for Adv-Aux-V are particularly surprising, since normalmente was expected to be acceptable in this position following Schifano (2018) (and scored on the upper half of the scale when placed before the finite lexical verb).
Finally, turning to completamente, the only structure that received an average score in the upper half of the scale is the one where the adverb was placed after the main verb. This matches the findings for conditions with simple verb forms, since completamente was found to be acceptable only in the postverbal position. The case of completamente is especially illuminating because it is the only adverb for which all three possible word orders were tested in the AJT. Comparing all three structures showed that placement of completamente between the auxiliary and the past participle elicited significantly higher scores (M = 2.80, SD = 1.15) than its placement before the auxiliary (M = 2.29, SD = 1.27), even if both options still scored in the lower half of the scale on average. This is consistent with the preference task, in which participants were forced to choose between placing completamente before the auxiliary or between it and the main verb: in 79.17% of the cases, participants chose Aux-Adv-V as their preferred option. As neither of the options available in the preference task were within the event domain,26 which is the one targeted by verb-phrase adverbials like completamente according to SBA theories (Ramchand & Svenonius 2014: 164), the preference for Aux-Adv-V may be due to the fact that, in this position, the adverb is closer to the event domain. Experiment 2 did not thoroughly test all conceivable placement options (sentence-initial, sentence-final, and the third sentence-medial option were missing) and used very few items, so it is not possible to make absolute claims about the overall preferred position for completamente or any of the other adverbs tested here. However, these results complement those from the AJT. Firstly, they support the finding of ya-Aux-V being preferred to Aux-ya-V. Additionally, they reflect a gradience in the acceptability of two unacceptable options in the case of completamente: both experiments suggest that the intervening position is more acceptable than the preauxiliary one.
The results discussed so far are consistent with the literature that describes Spanish as a language with finite verb movement. These results also suggest that the landing site of the auxiliary may be different from the landing site of a lexical verb, with the auxiliary landing at a higher position within the T domain than the lexical verb. This observation, which aligns with prior work by Cinque (1999), Ledgeway & Lombardi (2005) and Cruschina & Ledgeway (2016) among others, may explain why the pre-auxiliary position of normalmente receives low acceptability scores while preverbal placement in sentences with a simple verb form scored much higher. Additionally, there seem to be additional semantic or phonological constraints27 for the intermediate position, as it is considered to be more acceptable for ya and not so much for siempre. All in all, the data show once again that there is a considerable amount of variation in the acceptability of the tested word orders, and that acceptability is modulated in some capacity by the adverb itself.
Turning to the implications of the findings for RQ2, the case of ya is still problematic for the Functional Specifier approach: irrespective of whether the auxiliary moves to a higher position than the lexical verb, the theory still needs to account for two distinct acceptable word orders. The same issues noted in section 5.1 for lexical verbs apply here: one can assume that auxiliary movement is optional or that there are multiple functional projections associated with the same adverb, but which have different meanings. Both options seem unlikely based on our current understanding of verb placement in Spanish and what dictates the meaning of adverbs. Additionally, the only acceptable position for completamente, which is after both the auxiliary and the participle, introduces additional complications for the Functional Specifier approach.28 In order to obtain this word order while assuming base merge of the adverb above the auxiliary29 and the lexical verb, both the participle and the auxiliary would have to move past the adverb from their assumed base positions. This would also require the main verb to move past the trace of the auxiliary, resulting in a violation of the Head Movement Constraint (Travis 1984). One alternative to the head movement approach that has been contemplated by both Nilsen (2003) and Bentzen (2005) is that the constituent that moves is phrasal and contains both the auxiliary and the past participle. However, this would then prevent adverbs generated above the auxiliary from intervening between the auxiliary and the main verb, which the present study has shown to be an acceptable option for ya.
The data in the present study are not completely explainable through SBA theories either, even though they provide a higher degree of flexibility that can account for the variation in possible word orders within semantically defined regions. The data for ya can be directly explained by this approach, assuming that the auxiliary does not move to the highest available position within the temporal-aspectual area, so that the adverb can still precede it. This approach can also explain the placement of completamente, which cannot appear before the main verb or before the auxiliary. Specifically, SBA theories limit completamente to the event domain (or VP-domain), which is lower than the situation domain (or TP-domain). This means that completamente should only be accepted by native speakers in Aux-V-Adv word order, which is exactly what has been found in the present study. However, this approach, in its current form, does not seem to be able to explain why siempre receives lower acceptability scores than ya between the auxiliary and the main verb. The phonological weight of the adverb could be an explanation: it might be that the middle position is more readily available to phonologically lighter adverbs like ya. However, that has not been discussed in any SBA theories as far as I am aware. As mentioned above, one could also hypothesise that the intervening position is licensed only for adverbs with certain semantic features, but this would require a theory that arbitrarily limits the flexibility of adverb placement within a given domain. In practice, this would require adopting a philosophy similar to Cinque’s (1999).
One question remains: why does normalmente receive low acceptability scores in the pre-auxiliary position, the preferred position in the gap-filling task, despite being of the same semantic type as siempre and ya and exhibiting similar acceptability patterns to those adverbs in sentences with simple verb forms? There are two possible explanations, both of which involve introducing assumptions into the SBA approach, alongside the one discussed above that there are different landing sites for the auxiliary and the lexical verb:
Normalmente is a different type of adverb which only has one possible meaning and whose merge position is located in the same region as the landing site of the lexical verb, below the region that contains the landing site of the auxiliary. Meanwhile, siempre and ya are semantically ambiguous and have two merge positions available which are located to either side of the auxiliary’s landing site.
There are prosodic restrictions on which kind of material can be merged above the landing site of the auxiliary, and no restrictions (or different ones) on merging above the landing site of the lexical verb.
Both options outlined above introduce some complexity to the work of Ramchand & Svenonius (2014), especially as they would require splitting the s-domain into two different regions. At this point, it is worth considering the fact that specific features of the adverb or the auxiliary might play a role as well. It might be that placement options are constrained for adverbs ending in -mente (equivalent to English -ly). As for auxiliaries, there is evidence to suggest that their tense, mood and aspect may modulate the acceptability of Aux-Adv-V (Schifano, 2018), which opens a promising line of inquiry into how these features interact with adverb placement.30 In any case, different sets of restrictions for each of the regions on either side of the landing sites of the auxiliary and the lexical verb could help explain the observed variability.
5.3 Limitations
Due to methodological limitations, the present study only tested one adverb (completamente) in the Aux-V-Adv word order. This adverb was specifically selected because it was expected that it would provide more data of interest for the research questions at hand, especially given the expected patterns for other adverbs included in the study. In the future, however, it would be desirable to test all word orders thoroughly.
The inherent limitations of the chosen data collection methods resulted in an inability to test Schifano’s (2018) claim that the difference between some word orders which exhibit apparent optionality is pragmatic in nature. A study that seeks to test this particular distinction on a larger scale is therefore still needed.
In the GFT, only two gaps were available in sentences with complex verb forms, even though three would have been ideal to test all possible options. In this study, this was necessary to avoid making the auxiliary items too distinct from others, but this is an issue that could very well be addressed in future studies. Such studies should also include more items per adverb, since the GFT was further limited by a low number of test items, to allow for a thorough statistical analysis.
Finally, the present study focuses on a subset of the broader set of options available when examining adverb placement, which means that it is limited in that:
– It targets four adverbs (completamente, normalmente, siempre, and ya).
– Two verbal inflections (present and past perfect indicative) are tested.
– Representation of different Spanish varieties is limited.
There is a lot of room for future research to contribute to our understanding of adverb placement in Spanish by targeting different combinations of adverbs and verbal inflections in different varieties. Additionally, the interplay between adverbs and the inflectional and semantic properties of the verb is a topic that warrants examination.
6 Conclusion and future directions
The present study has demonstrated that adverb placement in Spanish exhibits a great deal of variation in terms of both acceptability and preference. Some adverbs can be placed to either side of the finite lexical verb or the verbal complex, while others are more restricted. An adverb may even intervene between the auxiliary and the lexical verb, though this option appears to be more constrained. Overall, this study’s results support the view that Spanish is a language with verb movement. The findings are partially consistent with previous studies and existing theories of adverb placement. While both FS and SBA theories predict some of the findings in the present study, neither is able to explain them fully in its current state.
Avenues for future research include an in-depth exploration of factors that are hypothesised to influence adverb placement: adverb typology, the inflectional and semantic properties of the verb, diatopic variation, and pragmatics.
Notes
- There are languages with verb movement where the verb can raise even further, to C (such as Norwegian). [^]
- The reader is referred to Biberauer & Richards (2006) and the references therein for an overview of the issue and a proposal that seeks to accommodate phenomena that on the surface seem to involve optionality within the Minimalist Program. [^]
- The reliability of adverb placement as a diagnostic of verb movement has also been discussed for other languages (see for instance Tescari Neto (2020; 2022) for Peruvian Spanish and Brazilian, Angolan, and Mozambican Portuguese). [^]
- While there are some cases in which adverbs may move, outlined in Cinque (1999: 16–17), they are not pertinent here. [^]
- An anonymous reviewer suggests that mica may license two different readings depending on its placement, and provides the following examples, where each word order is associated with a different pragmatic reading:
- i.
- Non lo so mica.
I have informally consulted three native speakers of Italian who are also linguists and, while they share the reviewer’s judgments for (i) and (ii), they are less decisive in assigning different readings to mica in (8). The higher structural complexity of (8), along with the presence of the adverb più, likely factors into these differences. In any case, the possibility that (8) might reflect two different readings of the adverb mica nuances the claims made in by Bobaljik (1999) with respect to the theoretical issue at hand. [^]- ii.
- Mica lo so.
- Cinque (2023) states that the case discussed by Bobaljik does not constitute a violation of the Head Movement Constraint if viewed through the lens of Relativised Minimality (Rizzi, 1990). Note, however, that this requires interpreting the movement operations discussed here as XP-movement rather than head movement. [^]
- Or events, situations and propositions, following Ramchand & Svenonius (2014). [^]
- Called “facts” in Ernst (2002) and Svenonius (2002). [^]
- Additionally, there are some adverbs, such as the extent adverb apenas ‘barely’, which can only appear in the preverbal position (Zagona, 2002). [^]
- The size and distribution of the sample in Schifano (2018) (two speakers, each one a speaker of a different variety) makes it difficult to tease apart idiolectal and diatopic variation. However, the potential influence of the latter cannot be ruled out. [^]
- However, Schifano’s Mexican informant reports that placement of ya and siempre after complex verb forms is ungrammatical for them (Schifano 2018: 78). [^]
- These are the two main senses of siempre, though this adverb can also license a non-temporal generic reading (Los satélites son siempre más pequeños que los planetas que circundan, ‘Satellites are always smaller than the planets they orbit’), and, in Rioplatense Spanish, even an aspectual one (¿Vivís siempre en Roma?, ‘Do you still live in Rome?’) (Bosque 2015; 2024). [^]
- Ya can also have other readings, including scalar, polar and imperative readings. For further information, see Remberger (2018). [^]
- The prediction for completamente would be slightly different if based on Camacho & Sánchez (2017), as both word orders were scored on the upper half of the scale in that study. Even in this case, V-Adv was more acceptable than Adv-V. [^]
- If the language participants claimed to speak from an early age was English, participants were excluded only if they self-classified as fluent speakers of English and stated that their parents also spoke it. [^]
- As outlined in Table 1, these adverbs can have different interpretations from those listed here. When creating the items for the present study, care was taken to ensure that they elicit the expected readings. [^]
- Ideally, this word order should have been tested for all adverbs, just like the other two, but accounting for three full sets of conditions would have required three item lists, instead of the two that were used, and substantially increased the number of participants required for the study. [^]
- Under the assumption that preverbal subjects are found within the TP in Spanish. [^]
- An anonymous reviewer asks why this was not considered an issue in experiment 1, where some targets were tested in three conditions. This is due to the design of the tasks. The sentences in experiment 1 are presented in isolation and care is taken to ensure related items do not follow one another in the presentation lists, to ensure participants remain naïve to the structures being targeted. In experiment 2, where participants are implicitly asked to compare two structures, having only one type of sentence consistently enquire about three possible structures might have made it stand out too much for participants to remain naïve. [^]
- Accounting for diatopic variation in my model was not possible. Some countries were represented by only one participant, making it impossible to tease apart the effect of individual and diatopic variation. [^]
- The available scores were –5, –3, 0, 3, and 5. [^]
- Schifano (2018: 78) does mention that one of her informants reports that placing ya after the verb can sometimes add a nuance of unexpectedness (though this is reported in her discussion of complex verb forms). [^]
- Specifically, one informant, a speaker of European Spanish, reports that postverbal placement of ya and siempre is grammatical but pragmatically marked for them, while the other, who speaks Mexican Spanish, states that it is marginal (Schifano 2018: 66, footnote 9). [^]
- A measure adverb, in Ernst’s (2002) terminology. [^]
- As helpfully pointed out by two anonymous reviewers, the aspectual properties of the verb could be playing a role: one of the verbs that accompanies completamente in experiment 2 could be interpreted as an accomplishment or as an activity (leer, ‘to read’), whereas the other is more clearly restricted to an accomplishment reading (abrir, ‘to open’). [^]
- In terms of Ramchand & Svenonius (2014): the clausal domain that relates to the event, also called the VP domain. [^]
- The most acceptable adverb in this case happens to be monosyllabic ya. [^]
- As discussed in section 2.2, other authors have reported that this word order is acceptable in Spanish with other adverbs, including ya and siempre, and in contexts outside the scope of the present study. [^]
- As one reviewer pointed out, one might hypothesise that the auxiliary is base merged above the adverb, which would allow the lexical verb to move past the adverb without passing the trace of the auxiliary. However, this would make it impossible to obtain Adv-Aux-V word order, which the present study has shown is acceptable for at least some adverbs. [^]
- Especially because, as mentioned in section 5.1, Schifano (2018) has similar findings for finite lexical verbs. [^]
Abbreviations
Adv = adverb, AJT = acceptability judgment task, Asp = aspect, Aux = auxiliary, C = complementiser, cel = celerative, CLMM = cumulative link mixed models, FS = Functional Specifier, FUT = future, GFT = gap-filling task, HAS = Higher Adverb Space, IPFV = imperfective, LAS = Lower Adverb Space, Neg = negation, SBA = Semantically Based Adjunction, T = tense, V = verb, VP = Verb Phrase.
Data availability and supplementary file
The materials, data and script for data analysis, as well as the supplementary analysis of the European Spanish data can be accessed at: https://doi.org/10.17605/OSF.IO/PEVJY.
Ethics and consent
All participants provided informed consent. The study is part of the CLIMA project, which was reviewed and approved by the Norwegian body responsible for data protection (Sikt – Norwegian Agency for Shared Services in Education and Research).
Funding information
The Research Council of Norway, grant number: 324318. PIs: Guro Busterud, Anne Dahl, Kjersti Faldet Listhaug.
Acknowledgements
I would like to thank Antonio Fábregas for providing valuable input throughout the development of this manuscript. Thanks as well to Giosuè Baggio, Giulia Zantonello and Matteo Radaelli for their detailed comments about their Italian judgments. I am also thankful to the three anonymous reviewers for their insightful comments and suggestions.
Competing interests
The author has no competing interests to declare.
References
Alexiadou, Artemis. 1997. Adverb placement. DOI: http://doi.org/10.1075/la.18
Ayoun, Dalila. 2005. Verb movement phenomena in Spanish: “Mixed languages” and bilingualism. In Cohen, James & McAlister, Kara T. & Rolstad, Kellie & MacSwan, Jeff (eds.), Proceedings of the 4th international bilingualism symposium, 143–162.
Beijer, Fabian. 2005. On the relative order of adverbs in the I-domain: A study of English and Swedish. Lund, Sweden: Lund University dissertation.
Bentzen, Kristine. 2005. What’s the better move? On verb placement in Standard and Northern Norwegian. Nordic Journal of Linguistics 28(2). 153–188. DOI: http://doi.org/10.1017/S0332586505001411
Biberauer, Theresa & Richards, Marc. 2006. True optionality: When the grammar doesn’t mind. In Boeckx, Cedric (ed.), Minimalist essays, 35–67. John Benjamins Publishing Company. DOI: http://doi.org/10.1075/la.91.08bib
Bobaljik, Jonathan David. 1999. Adverbs: The hierarchy paradox. Glot International 4(9/10). 27–28.
Bosque, Ignacio. 2015. Análisis composicional del adverbio siempre. In Azzopardi, Sophie & Sarrazin, Sophie (eds.), Langage et dynamiques du sens: études de linguistique ibéro-romane, 3–24. Peter Lang.
Bosque, Ignacio. 2024. Four dialectal uses of the adverb siempre and their grammatical properties. Languages 9(1). 30. DOI: http://doi.org/10.3390/languages9010030
Camacho, José & Sánchez, Liliana. 2017. Does the verb raise to T in Spanish? In Fernández-Soriano, Olga & Castroviejo, Elena & Pérez-Jiménez, Isabel (eds.), Boundaries, phases and interfaces: Case studies in honor of Violeta Demonte, 48–62. John Benjamins. DOI: http://doi.org/10.1075/la.239.03cam
Chomsky, Noam. 1981. Lectures on government and binding. Dordrecht: Foris. DOI: http://doi.org/10.1515/9783110884166
Christensen, Rune H. B. 2018. Cumulative link models for ordinal regression with the R package ordinal.
Christensen, Rune H. B. 2023. Ordinal—Regression models for ordinal data. R package version 2023.12-4.1. DOI: http://doi.org/10.32614/CRAN.package.ordinal
Cinque, Guglielmo. 1999. Adverbs and functional heads: A cross-linguistic perspective. Oxford University Press. DOI: http://doi.org/10.1093/oso/9780195115260.001.0001
Cinque, Guglielmo. 2004. Issues in adverbial syntax. Lingua 114(6). 683–710. DOI: http://doi.org/10.1016/S0024-3841(03)00048-2
Cinque, Guglielmo. 2023. On linearization: Toward a restrictive theory. MIT Press. DOI: http://doi.org/10.7551/mitpress/14681.001.0001
Cruschina, Silvio & Ledgeway, Adam. 2016. The structure of the clause. In Ledgeway, Adam & Maiden, Martin (eds.), The Oxford guide to the Romance languages, 556–574. Oxford Academic. DOI: http://doi.org/10.1093/acprof:oso/9780199677108.003.0031
Emonds, Joseph. 1978. The verbal complex V’-V in French. Linguistic Inquiry 9(2). 151–175.
Ernst, Thomas Boyden. 2002. The syntax of adjuncts (Vol. 96). Cambridge: Cambridge University Press. DOI: http://doi.org/10.1017/CBO9780511486258
Fábregas, Antonio. 2015. Una nota sobre las lecturas de los adverbios de grado. Lenguaje 43(2). 247–269. DOI: http://doi.org/10.25100/lenguaje.v43i2.5002
Hartley, James & Betts, Lucy R. 2010. Four layouts and a finding: the effects of changes in the order of the verbal labels and numerical values on Likert-type scales. International Journal of Social Research Methodology 13(1). 17–27. DOI: http://doi.org/10.1080/13645570802648077
Höhle, Tilman N. 1992. Über Verum-Fokus im Deutschen. In Jacobs, Joachim (ed.), Informationsstruktur und Grammatik, 112–141. Wiesbaden: VS Verlag für Sozialwissenschaften. DOI: http://doi.org/10.1007/978-3-663-12176-3_5
Ledgeway, Adam & Lombardi, Alessandra. 2005. Verb movement, adverbs and clitic positions in Romance. Probus 17(1). 79–113. DOI: http://doi.org/10.1515/prbs.2005.17.1.37
Lenth, Russell V. 2024. Emmeans: estimated marginal means, aka least-squares means. R package version 1.10.4. https://CRAN.R-project.org/package=emmeans.
Lo, Chang Huan & Hermes, Jonas & Kartushina, Natalia & Mayor, Julien & Mani, Nivedita. 2024. e-Babylab: An open-source browser-based tool for unmoderated online developmental studies. Behavior research methods 56(5). 4530–4552. DOI: http://doi.org/10.3758/s13428-023-02200-7
Nilsen, Øystein. 1997. Adverbs and A-shift. Working papers in Scandinavian syntax 59. 1–32.
Nilsen, Øystein. 2003. Eliminating positions: Syntax and semantics of sentence modification. Utrecht, Netherlands: Utrecht University dissertation.
Ojea López, Ana Isabel. 1994. Adverbios y categorías funcionales en español [Adverbs and functional categories in Spanish]. Revista Española de Lingüística 24(2). 393–416.
Pollock, Jean-Yves. 1989. Verb movement, universal grammar, and the structure of IP. Linguistic Inquiry 20(3). 365–424.
R Core Team. 2024. R: A language and environment for statistical computing. R Foundation for Statistical Computing. https://www.R-project.org/.
Rackowski, Andrea & Travis, Lisa. 2000. V-initial languages: X or XP movement and adverbial placement. In Carnie, Andrew & Guilfoyle, Eithne (eds.), The syntax of verb initial languages (Oxford Studies in Comparative Syntax), 117–142. Oxford: Oxford University Press. DOI: http://doi.org/10.1093/oso/9780195132229.003.0007
RAE & ASALE. 2009. Nueva gramática de la lengua española. Espasa. Retrieved 22 January 2025 from https://www.rae.es/gram%C3%A1tica/.
Ramalle, Rodríguez & María, Teresa. 2003. La gramática de los adverbios en-mente o cómo expresar maneras, opiniones y actitudes a través de la lengua [The grammar of adverbs in -mente or how to express manner, opinions and attitudes through language]. Madrid: Ediciones de la Universidad Autónoma de Madrid.
Ramchand, Gillian & Svenonius, Peter. 2014. Deriving the functional hierarchy. Language sciences 46. 152–174. DOI: http://doi.org/10.1016/j.langsci.2014.06.013
Remberger, Eva-Maria. 2018. Already in romance: universal properties, minimal variation, language change. Revue Roumaine de Linguistique 63(3). 223–240.
Rizzi, Luigi. 1990. Relativized minimality. Cambridge, MA: MIT Press.
Schifano, Norma. 2018. Verb movement in Romance: A comparative study. Oxford: Oxford University Press. DOI: http://doi.org/10.1093/oso/9780198804642.001.0001
Suñer, Margarita. 1987. Haber + past participle. Linguistic Inquiry 18(4). 683–690.
Suñer, Margarita. 1994. V-movement and the licensing of argumental wh-phrases in Spanish. Natural Language & Linguistic Theory 12(2). 335–372. DOI: http://doi.org/10.1007/BF00993148
Svenonius, Peter. 2002. Subject positions and the placement of adverbials. In Svenonius, Peter (ed.), Subjects, expletives, and the EPP, 201–242. Oxford: Oxford University Press. DOI: http://doi.org/10.1093/oso/9780195142242.003.0008
Tescari Neto, Aquiles. 2013. On verb movement in Brazilian Portuguese: A cartographic study. Venice: Ca’ Foscari University dissertation.
Tescari Neto, Aquiles. 2020. Diagnosing verb raising: The view from cartography. In Brazilian Portuguese, syntax and semantics, 167–190. John Benjamins Publishing Company. DOI: http://doi.org/10.1075/la.260.07tes
Tescari Neto, Aquiles. 2022. On the raising of the finite main verb in Angolan Portuguese and in Mozambican Portuguese: Cartographic hierarchies, microvariation and the use of adverbs as diagnostics for movement. Probus 34(1). 171–234. DOI: http://doi.org/10.1515/probus-2022-0008
Travis, Lisa deMena. 1984. Parameters and effects of word order variation. Cambridge, MA: Massachusetts Institute of Technology dissertation.
Vendler, Zeno. 1967. Linguistics in philosophy. Ithaca, NY: Cornell University Press. DOI: http://doi.org/10.7591/9781501743726
Zagona, Karen. 2002. The syntax of Spanish. Cambridge: Cambridge University Press. DOI: http://doi.org/10.1017/CBO9780511613234




